基于電壓反行波差異的海上風電低頻輸電海纜縱聯保護
作者:高校平 宋國兵 康小寧 崔 燦 閆吉飛
1 低頻輸電系統故障特征有何特殊之處?
圖1給出了海上風電低頻輸電系統拓撲,海纜需匯集來自于風電場的電能,并經模塊化多電平矩陣換流器(modular multilevel matrix converter,M3C)實現頻率轉換,從而在M3C低頻側構成了100%電力電子源場景。相較于同步機系統在負序網絡中源側只體現阻抗特性,低頻輸電系統負序網絡中線路兩側均可體現為電源特性。根據單相接地故障和兩相相間故障復合序網圖,故障支路電流可由負序電流唯一確定,當M3C和海上風電場網側變流器(grid-side converter, GSC)抑制負序電流時,盡管故障點處存在負序電壓源,但兩側換流器均會生成幅值相位相同的電壓源,以抵消系統中的負序電流,因此系統故障電流仍保持對稱,使得故障支路的穩態電流為0。上述分析表明,雖然風電場升壓變壓器和M3C低頻側隔離變壓器網側中性點均采取直接接地方式,但低頻輸電系統在特定故障控制策略下呈現出類似于中性點非直接接地系統的故障特征。

圖1 海上風電低頻輸電系統拓撲
2 縱聯電流差動保護在低頻輸電系統中面臨哪些挑戰?
縱聯電流差動保護憑借其優異性能成為新能源送出高壓交流線路主保護。在同步機系統中,故障線路兩側電流基本同相,縱聯電流差動保護具有很高的靈敏度。新能源場站接入強電網場景下,即便新能源側與電網側故障電流相位差異較大,但因二者提供故障電流幅值的能力有顯著區別,當幅值差大于特定值時,使得任何電流相位差下縱聯電流差動保護都能正常工作。相較于前兩個場景,在低頻輸電系統中,縱聯電流差動保護的靈敏度與GSC和M3C提供的負序電流密切相關。兩者注入的負序電流越低,靈敏度越低,從而引起保護誤動作。單相接地故障及兩相相間故障下,當GSC和M3C均抑制其輸出負序電流時,故障支路電流在穩態時理論值降為0,因此僅基于電流的穩態量保護將在原理上失效。
低頻輸電系統的故障特征高度依賴于線路兩側換流器故障穿越策略,目前尚未形成確定性標準化的換流器故障響應特性,因此具有普適性的低頻線路保護應該獨立于源特性。
3 如何利用電壓反行波差異實現低頻海纜縱聯保護?
典型的換流器故障控制策略雖能弱化故障特征,但在故障暫態階段,故障特征主要受到海纜中電容和電感間能量交換的影響。同時,換流器控制系統完成指定目標需要一定時間,因此故障支路電流在故障暫態階段幅值較大并逐漸減小。充分利用該階段的故障信息,即可實現故障識別。鎧裝三芯海纜包含導芯、金屬屏蔽層和鎧裝,多導體之間存在電磁耦合,單獨分析相電氣量困難。對此,首先利用時域暫態信號相模變換,篩選出能夠反映各種故障類型的模量。Marti模型考慮了線路頻變特性,能夠根據對端電壓前行波準確計算本端電壓反行波。為了在低采樣率下實現計算,推導了基于插值的高精度電壓反行波電壓表達式。基于電壓反行波差異的海上風電低頻輸電系統海纜縱聯保護方案流程圖如圖2所示。保護啟動后,首先根據本端模量信息計算本端電壓反行波,然后通過對端電壓前行波與傳播函數間的卷積來計算本端電壓反行波,最終比較二者差異以實現海纜保護。

圖2 海上風電低頻輸電系統海纜縱聯保護方案流程圖
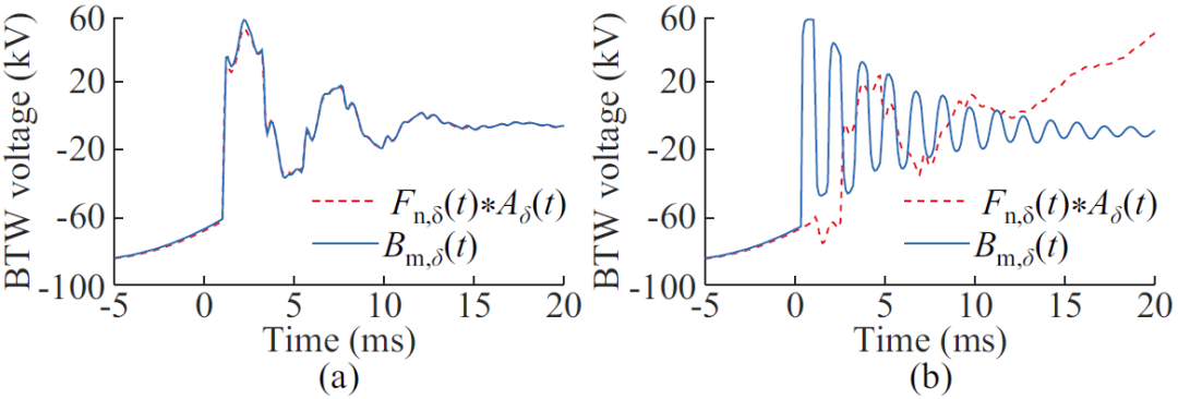
4 利用反行波電壓差的海纜縱聯保護性能如何?
本文對圖1所示的帶有3個風電場的低頻輸電系統進行了仿真。計算結果表明:1)如圖3所示,區外故障時,由本端模量信息計算的電壓反行波在故障暫態階段基本與由對端模量計算的電壓反行波重合,區內故障下二者差異明顯;2)不同M3C負序電流指令下的電壓反行波差異仿真結果如圖4所示,結果表明,基于電壓反行波差異的縱聯保護在區內故障時在能在5 ms內可靠動作,而在區外故障時不動作。所提保護不受換流器故障控制策略影響,且具有較高的靈敏度。

圖3 經本端與對端模量信息計算的電壓反行波對比 (a) 區外故障 (b) 區內故障

圖4 不同M3C負序電流指令下電壓反行波差異仿真結果
5 該研究存在哪些局限性,未來的研究方向是什么?
本文所提方案需事先獲知海纜各頻點下的線路參數,給實際工程應用帶來困難。未來的研究將聚焦于如何降低對線路參數的強依賴性。除此之外,海纜故障可能伴隨著通信通道的破壞,還需研究不依靠通信及與換流器控制特性無關的保護方案。
引文信息
Xiaoping Gao, Guobing Song, Xiaoning Kang, Can Cui, and Jifei Yan. Pilot protection based on backward traveling-wave voltage difference for submarine cables of low-frequency transmission system with integrated offshore wind power [J]. Journal of Modern Power Systems and Clean Energy, 2025, 13(4): 1176-1187.
高校平:博士研究生,西安交通大學電氣工程學院,主要研究方向為:新型電力系統保護與控制。
宋國兵:博士,教授,博士生導師,西安交通大學電氣工程學院,主要研究方向為:電力系統繼電保護。
康小寧:博士,教授,博士生導師,西安交通大學電氣工程學院,主要研究方向為:電力系統繼電保護。
崔燦:碩士研究生,西安交通大學電氣工程學院,主要研究方向為:新型電力系統保護與控制。
閆吉飛:博士研究生,西安交通大學電氣工程學院,主要研究方向為:新型電力系統保護與控制。
團隊介紹
西安交通大學電力系統繼電保護團隊于20世紀60年代由葛耀中先生(顧毓琇電機工程獎獲得者)等中國老一輩繼電保護專家開創,培養了張保會、索南加樂、董新洲、徐丙垠等繼電保護領域杰出專家。團隊經張保會教授、索南加樂教授等知名學者發展壯大,現有教授4人,副教授4人,助理教授2人。近年來,團隊面向國家能源重大戰略需求,在現代電力系統故障分析與繼電保護,電力變壓器新型保護與安全運行,電力系統通信與電力物聯網,電力系統控制保護融合,新能源電力系統安全自動裝置等領域開展了大量的研究工作,主持或參與了國家重點研發計劃、863/973計劃、國家自然科學基金等縱向項目和國家電網公司、南方電網公司等企業的橫向項目50余項,獲省部級科研獎勵20余項,出版教材/專著6部,發表SCI/Ei論文400余篇。
來源:電力系統自動化









評論